(DOE de 19.12.2025)
Aprova a tabela discriminativa de valor médio de mercado para veículos terrestres usados – base de cálculo e prazos de pagamentos de IPVA para o exercício de 2026.
A SECRETÁRIA DE ESTADO DA FAZENDA, no uso das atribuições que lhe outorga o inciso II do art. 114 da Constituição Estadual, e considerando o disposto nos arts. 7°, § 1°, 17, 23 e 58, todos da Lei n° 6.555, de 30 de dezembro de 2004, resolve expedir a seguinte,
INSTRUÇÃO NORMATIVA:
Art. 1° Ficam aprovadas as datas dos respectivos vencimentos, conforme Anexo I, e a tabela discriminativa de valor médio de mercado, base de cálculo do IPVA, expresso em moeda corrente, conforme Anexo II, relativas ao pagamento do Imposto sobre a Propriedade de Veículos Automotores -IPVA, para veículos terrestres usados, no exercício de 2026.
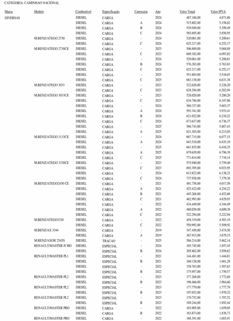
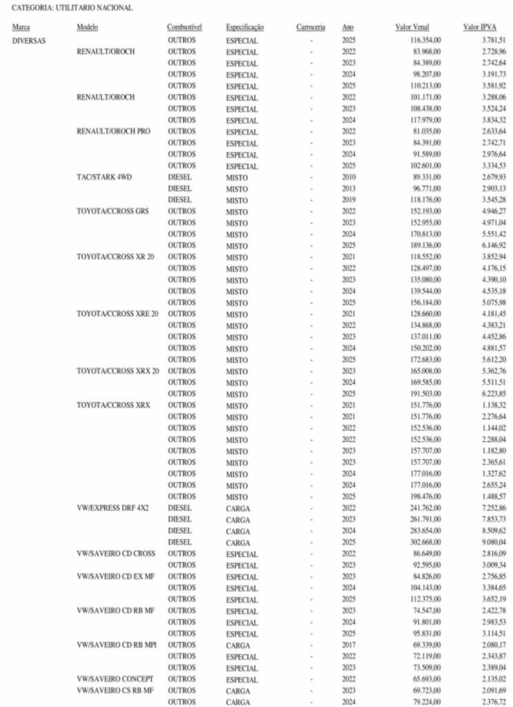
Parágrafo único. As descrições dos tipos de carrocerias de caminhões, constantes da tabela a que se refere este artigo, têm as seguintes correspondências:
I – carroceria Tipo “A”: corresponde à carroceria aberta;
II – carroceria Tipo “B”: corresponde à carroceria baú;
III – carroceria Tipo “C”: corresponde às carrocerias caçamba, poliguindaste, coletora de lixo e plataforma de socorro.
Art. 2° O pagamento do IPVA, exercício 2026, deve ser efetuado em cota única ou em até 06 (seis) parcelas mensais e sucessivas, conforme calendário fixado no Anexo I, devendo o documento de arrecadação ser emitido pelo site: https://www.sefaz.al.gov.br/ipva.
§ 1° O valor mínimo de cada parcela não pode ser inferior a R$ 100,00 (cem reais).
§ 2° O pagamento do IPVA deve ser efetuado mediante utilização dos documentos de arrecadação previstos na legislação.
§ 3° Sobre o valor do imposto será concedido desconto de 5% (cinco por cento), observando-se:
I – para pagamento integral, que deverá ser efetuado até o dia 30 de janeiro de 2026;
II – para pagamento parcelado, ao contribuinte cadastrado no Programa Nota Fiscal Cidadã de que trata a Lei Estadual n° 6.991, de 24 de outubro de 2008, devendo o cadastro ter sido efetuado até o último dia útil do mês de dezembro de 2025.
Art. 3° Os dados de identificação do sujeito passivo, do veículo e do cálculo do respectivo IPVA estão disponíveis para consulta pública pelo site: https://www.sefaz.al.gov.br/ipva.
Art. 4° As certidões de não-incidência ou de isenção do IPVA, anteriormente emitidas, produzem efeitos para o exercício de 2026 enquanto subsistirem as razões que as fundamentaram.
Parágrafo único. Excetuam-se da condição prevista neste artigo os veículos permissionários da Agência Reguladora de Serviços Públicos do Estado de Alagoas – ARSAL, utilizados no serviço complementar de transporte intermunicipal de passageiros.
Art. 5° Esta Instrução Normativa entra em vigor na data de sua publicação.
SECRETARIA DE ESTADO DA FAZENDA, em Maceió/AL, 18 de dezembro de 2025.
RENATA DOS SANTOS
Secretária de Estado da Fazenda
ANEXO I
PRAZO PARA PAGAMENTO DO IPVA / LICENCIAMENTO 2026
(PAGAMENTO DA RENOVAÇÃO DO LICENCIAMENTO JUNTO AO DETRAN DEVE SER NO PRAZO ESCALONADO DA COTA ÚNICA)
| FINAIS DE PLACA | COTA ÚNICA C/ DESCONTO DE 5% | COTA ÚNICA S/DESCONTO E LICENCIAMENTO | 1ª PARCELA | 2ª PARCELA | 3ª PARCELA | 4ª PARCELA | 5ª PARCELA | 6ª PARCELA |
| 1 e 2 | 30/01/2026 | 27/02/2026 | 27/02/2026 | 27/02/2026 | 30/04/2026 | 29/05/2026 | 30/06/2026 | 31/07/2026 |
| 3 e 4 | 30/01/2026 | 31/03/2026 | 31/03/2026 | 31/03/2026 | 29/05/2026 | 30/06/2026 | 31/07/2026 | 31/08/2026 |
| 5 e 6 | 30/01/2026 | 30/04/2026 | 30/04/2026 | 30/04/2026 | 30/06/2026 | 31/07/2026 | 31/08/2026 | 30/09/2026 |
| 7 e 8 | 30/01/2026 | 29/05/2026 | 29/05/2026 | 29/05/2026 | 31/07/2026 | 31/08/2026 | 30/09/2026 | 30/10/2026 |
| 9 e 0 | 30/01/2026 | 30/06/2026 | 30/06/2026 | 30/06/2026 | 31/08/2026 | 30/09/2026 | 30/10/2026 | 27/11/2026 |
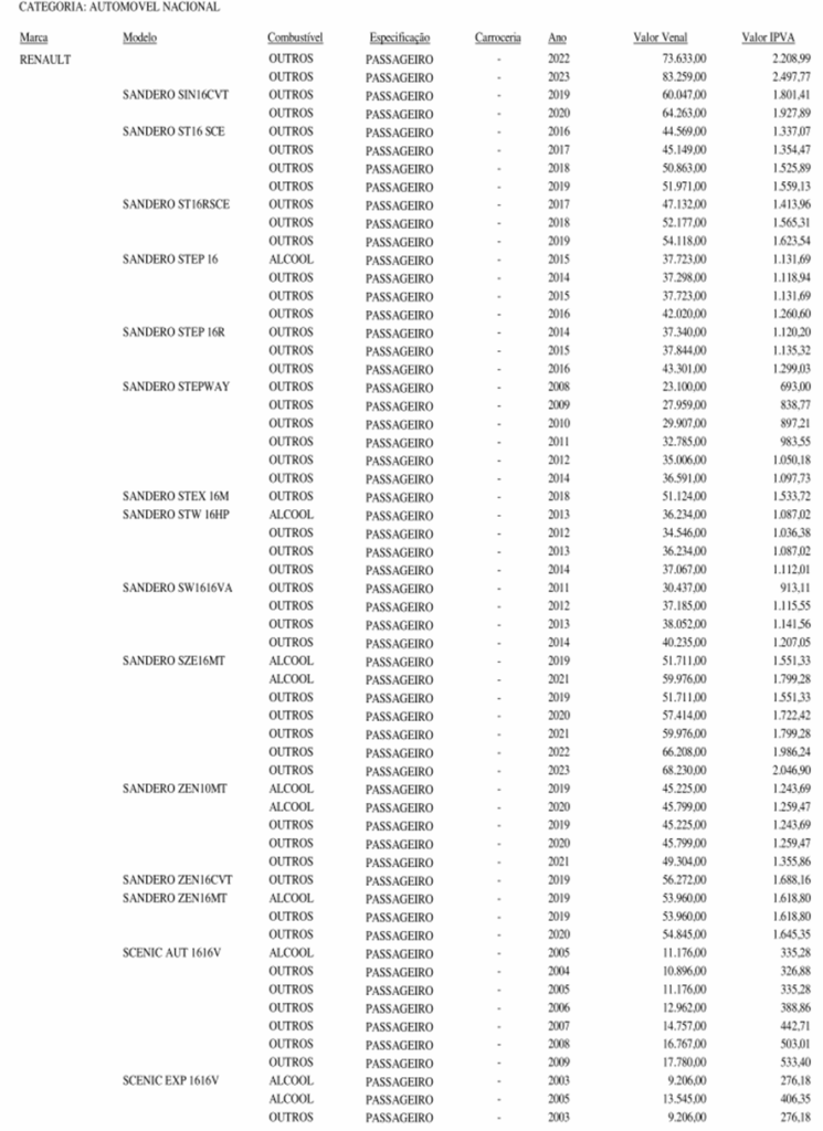
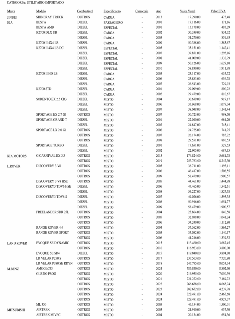
ANEXO II
TABELA DISCRIMINATIVA DE VALOR MÉDIO DE MERCADO – BASE DE CÁLCULO DO IPVA / EXERCÍCIO DE 2026.


































































































































































































































































































































































































































